The Official Flipping Theory Web Site :--> Home

It's great that you think about this stuff. It's a lot of fun and there are a lot of surprises to discover in the universe.
feed your mind

The Official Flipping Theory Web Site

Heraclitus - Forerunner of Flipping Theory

Heraclitus and the flow of change

Developed by Krunomir Dvorski using ChatGPT

When Heraclitus of Ephesus, in the 5th century BCE, proclaimed that everything flows (panta rhei), he was not merely making a poetic observation about rivers and seasons. He was proposing a radical view of reality: permanence is an illusion and stability is a momentary appearance within an ongoing process. In modern scientific language, he was replacing "being" with "becoming". The world, according to Heraclitus, is not a collection of objects but a continuous transformation.

Seen from this perspective, Heraclitus can be understood as a distant philosophical ancestor — a forerunner — of the Flipping Theory.

Krunomir's quest for the Universe

Torn between my two hobbies, physics and art, I made a card for my friends at the end of 2009. The card shows a few years of my pursuit of the Universe. Gradually, this card is replaced with a small novel called "Flippon". Aside from the novel's title, Flippon is the elementary particle and basic building block of the universe, from which its own decay produces all other particles.

I Am Krunomir. What Is My Contribution to Flipping Theory?

An Essay

I am Krunomir—not as a biographical footnote, but as an active boundary condition in an unfinished cosmology. My contribution to Flipping Theory is not the addition of yet another model to an overcrowded theoretical landscape; it is the insistence that the landscape itself has been misdrawn. Flipping Theory exists because I refused to accept that the universe must be explained only from its loudest events—big bangs, violent singularities, explosive beginnings—while ignoring its quiet, persistent, and generative background.

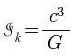
My first contribution is the shift of attention. Flipping Theory does not begin with a beginning. It begins with continuity. I challenged the idea that reality requires an initial singularity to justify its existence. Instead, I introduced the Incipient Law of Creation: a law that describes the continuous emergence of mass and spacetime from what is conventionally called “empty” intergalactic space. In doing so, I reframed the vacuum from a passive absence into an active engine of creation. This is not a metaphor—it is a physical claim, quantified by the universal mass flow Ik = c3/G. Here, creation is not an exception; it is a steady process.

My second contribution is the concept of flippons. I proposed flippons as elementary, non-interacting carriers of gravitational potential—dark matter not as a mysterious particle zoo, but as a coherent, minimal construct. Flippons do not shine, spin, or decay; they define limits rather than interactions. By assigning them concrete mass, volume, and temporal scale, I anchored abstraction to measurable structure. Flippons are not added to the Standard Model; they sit beneath it, as a substrate from which complexity fragments upward.

A third contribution is the Law of Aging Photons, which directly confronts one of cosmology’s most sacred assumptions: that cosmic redshift must imply cosmic expansion. I proposed that photons age—that their energy changes through interaction with the cosmic medium over vast distances—without requiring space itself to stretch. This move reopens empirical data that had been prematurely sealed inside a single interpretation. In Flipping Theory, redshift is not evidence of escape; it is evidence of endurance.

Closely tied to this is my contribution to cosmic accounting. Through the Principle of Cosmic Energy Distribution, I reinterpreted the Gaussian distribution as a physical law of energy partitioning rather than a statistical convenience. Dark energy, in this view, dissolves into kinetic energy; mystery is not multiplied, but redistributed. The universe becomes energetically honest again.

Another essential contribution is philosophical, but not decorative. I introduced the Law of Last Evidence, asserting that the ultimate measurable signature of reality is disappearance—what remains after matter, space, and time have withdrawn from detectability. This law challenges the closed-system assumption of modern physics and restores epistemic humility. Not everything that exists must leave a trace, and not everything without a trace is nonexistent.

Flipping Theory also bears my contribution in language and structure. Terms such as Displaceism, Flowcism, Cosmic Plain, and The Council of Balance are not poetic indulgences; they are cognitive tools. They allow the theory to be thought, not merely calculated. I insisted that a cosmology that cannot be imagined will never be fully understood. The Cosmic Plain, in particular, stands as a declaration of homogeneity without violence—a place where nothing dramatic happens, and therefore everything becomes possible.

Finally, my contribution is methodological courage. I brought into physics a way of thinking shaped by decades of hands-on engineering, teaching, and building—by making things work, not just making them elegant. I trusted internal visualization, intuition disciplined by calculation, and the legitimacy of asking “What if the universe is simpler than we think?” Flipping Theory is not anti-science; it is anti-inertia.

So when I ask, “I am Krunomir. What is my contribution to Flipping Theory?” the answer is this:

I am the one who flipped the question itself—from How did the universe begin? to How does the universe continue?

And in that flip, a different cosmos quietly emerged.

The Universe Appears Statistically Uniform Without Requiring Expansion

An Essay

One of the most persistent assumptions in modern cosmology is that large-scale statistical uniformity-the near sameness of the universe in all directions-demands an expansion-driven explanation. From this assumption arise concepts such as cosmic inflation, accelerating expansion, and dark energy, all invoked to reconcile observed isotropy and homogeneity with a universe born in a hot, dense origin. Yet this chain of reasoning deserves renewed scrutiny. Statistical uniformity does not logically require expansion. It may instead arise from deeper, quieter principles governing energy distribution, signal evolution, and observational limits.

At its core, statistical uniformity is an observational statement, not a dynamical one. When astronomers say the universe is homogeneous and isotropic on large scales, they mean that averaged measurements-galaxy counts, background radiation intensity, redshift distributions-exhibit stable statistical properties when sampled over sufficiently large volumes. This uniformity describes what is measured, not necessarily how spacetime behaves. To equate the two is to quietly embed an interpretive leap into the data analysis itself.

Expansion-based cosmology interprets redshift as a kinematic stretching of space, converting spectral displacement into a recession velocity. Uniformity then becomes a puzzle: why should such an expanding universe look so similar in every direction? Inflation is introduced to smooth initial irregularities, while dark energy compensates for discrepancies in observed acceleration. Yet these additions are not direct observations; they are explanatory scaffolding erected to preserve the expansion premise.

An alternative view begins by disentangling uniformity from motion. If the universe possesses a large-scale equilibrium mechanism-one that redistributes energy without requiring metric expansion-then statistical uniformity emerges naturally. In such a framework, the universe is not a balloon being stretched but a vast, self-regulating system in which local processes average out over cosmic distances. The appearance of uniformity reflects this averaging, not a shared outward velocity.

Within the Flipping Theory, this equilibrium is embodied by the Cosmic Plain: a zone of large-scale homogeneity where energy density, not spatial growth, defines cosmic order. Here, uniformity arises because creation and dissipation processes are continuous and distributed, not because all regions once shared a violent, synchronized beginning. The Incipient Law of Creation allows mass and spacetime to emerge steadily from the intergalactic vacuum, while the Principle of Cosmic Energy Distribution ensures that no region permanently dominates another. Uniformity, in this sense, is not imposed by expansion but maintained by balance.

Photon aging further weakens the necessity of expansion-driven explanations. If photons gradually lose energy over time through a continuous, non-catastrophic process, then redshift becomes a measure of age and distance without implying recessional motion. The observed smoothness of redshift distributions across the sky then reflects the uniformity of photon aging itself-a universal process acting equally in all directions. Statistical isotropy follows directly, without invoking stretching space or accelerating metrics.

Importantly, this perspective also respects the limits of observation. Statistical uniformity may partly arise from what can be measured at all. The Law of the Last Evidence reminds us that beyond certain scales or energies, reality ceases to leave detectable traces. Uniformity may therefore mark the boundary of measurable structure, not the triumph of a particular cosmological model. What appears smooth may simply be what remains after fine-grained information has aged, dissipated, or become undetectable.

The insistence on expansion as the sole explanation for uniformity reflects a broader tendency in cosmology: to convert interpretive convenience into ontological necessity. Once expansion is assumed, every observation must conform to it, even at the cost of introducing unseen entities and finely tuned parameters. By contrast, recognizing statistical uniformity as compatible with non-expanding frameworks restores conceptual economy. It allows cosmology to remain open to mechanisms rooted in energy flow, temporal evolution, and observational horizons.

In conclusion, the universe can appear statistically uniform without requiring expansion-driven explanations. Uniformity need not be the fossil imprint of an explosive beginning or an accelerating future. It may instead be the signature of a cosmos governed by balance rather than motion, continuity rather than rupture, and aging rather than stretching. By releasing uniformity from the grip of expansion, cosmology regains both conceptual flexibility and philosophical humility-qualities essential for understanding a universe that continues to reveal itself not through grand gestures, but through subtle, persistent regularities.

New laws of physics

Cosmic Energy Distribution Principle
Incipient Law of Creation
Law of Last Evidence
Law of Aging Photons
Law of Abandonment Origin

Short Instructions for Using Flipping Theory

1. Start with openness

Approach the universe without assuming singularities, beginnings, or empty voids. Let emergence, continuity, and flow guide your interpretation.

2. Use the Incipient Law of Creation as the foundation

All mass and spacetime arise from the constant mass flow

Incipient Law of Creation

Treat this as the engine of creation. Flippons are the first stable forms produced by this process.

3. Interpret redshift through photon aging

Law of Aging Photons

Redshift follows the Gaussian decay of photon frequency, not cosmic expansion.

4. Apply the Cosmic Energy Distribution Principle

Use the Gaussian intervals to classify energy types in the universe. Replace "dark energy" with kinetic background energy arising naturally from the distribution.

5. Use flippons as fundamental building blocks

Flippons are transparent, gravity-only, non-interacting seeds of all particles. All structures form through their self-fragmentation.

6. Model all processes as continuous transformations

In Flipping Theory, energy, matter, and spacetime evolve smoothly-no jumps or singular boundaries. Follow the flows, not static states.

o-o

The mini-novel "Flippon" is the oldest source of information about the Flipping Theory..

     Flipping theory